Glaser Group Research

Boldness has genius, power and magic in it.
In the realm of ideas everything depends on enthusiasm... in the real world all rests on perseverance.
Johann Wolfgang von Goethe



Guiding
Principles
From Electronic Structure Theory to New Concepts in Chemistry is the guiding principle of our research. This principle is applied to studies of Chemistry in Anisotropic Media, and all efforts are benefitting from the Synergy of Tightly Coupled Theoretical and Experimental Studies.

Professional
Interests
Organic, Theoretical, and Materials Chemistry. Chemistry Education.
Descriptive Realism. Make, measure, and think with theory.

Projects 1. Polar Order in Crystalline Organic Molecular Materials
2. DNA Base Deamination and Cross-Link Formation
3. Catalysis: Olefin Polymerization, Oscillating Chemical Reactions, and Steroid Oxidation
4. Heteroarene Reduction: Hypoxia Selective Cancer Chemotherapeutics
5. Heterocumulenes: Toward Large-Scale Biomimetic, Reversible CO2 Sequestration
6. Astrochemistry: Nucleobase Synthesis in Interstellar Space and IR-Spectroscopy of PAHs
7. Science Communication: Chemistry Is in the News and the Scientific Writing Project
8. Cross-Disciplinary Science Education: Mathematics and Life Sciences

We are studying topics in organic, organometallic, and bio-organic chemistry with modern theoretical methods in combination with laboratory experimentation. Due to the computer and the information access revolutions, the generation and analysis of information and data has become one of the essential aspects of being a modern scientist. We use this new degree of freedom to the fullest in research and education. Several projects are pursued in collaboration with groups elsewhere in the US, in China and in Europe creating opportunities for student exchanges. The interdisciplinary approach to pertinent problems exposes students to a broad spectrum of diverse techniques and provides a unique preparation for careers in modern research areas positioned at the interphases between the classical disciplines.
(Under Re-Construction; Last Update: April 24, 2018)



Overview: From Electronic Structure Theory to New Concepts in Chemistry

Computational Methods: Ab initio Theory, Perturbation Approaches (MP%, G1, G2, G3, G2MP2), Variational CI Methods (MCSCF, QCI, CC), Density Functional Theory (DFT), ADMP (atomic density matrix propagation) ab initio Direct Dynamics, Electron Density and Spin Density Analysis, Population Analysis, Electrostatic Moments (charge, dipole, quadrupole), Electric Polarization (Polarizabilities, Hyperpolarizabilities), Electrostatic Potentials, Magnetic Properties, NMR (Shielding, Chemical Shifts, Coupling Constants), EPR (g-Values, Hyperfine Coupling Constants).


Focus Areas: Dative Bonding, Halogen Bonding, Spin Polarization and Spin Delocalization

We are studying topics in organic, inorganic, bioorganic, and materials chemistry with modern theoretical methods and in direct combination with laboratory experimentation. The strong connection between theory and experimentation is common to all our projects. The process usually begins with thinking about a bonding situation or a reaction mechanism of some pertinent, known chemistry. Aside from providing explanation, however, there always is the very strong desire to go beyond explanation, to translate new insights into predictions of new chemistry, and to explore the predictions in the laboratory.

Diazonium ions and diazonium ion chemistry has been at the focal point of our research on dative bonding. We developed a dative bonding model for diazonium ions and we have shown that this model is consistent with all experimental data. In particular, in 1995 we were able to explain why the rates of dediazoniation are hardly affected by the choice of the solvent. The extension of these studies lead to the conclusion that there is a non-zero solvent-independent solvent effect. This discovery had major consequences on the general theory of nucleophilic dediazoniation.

Most recently, we have been studying the mechanisms of nucleophilic substitution at heteroaromatic substrates. We have proposed that such reactions involve bimolecular processes with transition state structures of the type shown on the right for the reaction of water with benzenediazonium ion.


Insights about dative bonding in benzenediazonium ions led us to consider the possibility of pyrimidine ring-opening during the dediazoniation of guaninediazonium ion. This line of inquiry became one of the focal points of our research and some aspects are described below in section 2.

Our studies of transition metal catalyzed, MAO-assisted olefin polymerization chemistry (see section 3.1), a new line of research we began in 2010, is informed by dative bonding theory in multiple ways. Intramolecular O→Al π-dative bonding modulates the Lewis basicity of MAO species, the association of donor ligands to σ-LAS sites of MAO species affects the formations and thermodynamic stabilities of MAO species, and dative bonding is front and center to discussions of the mechanisms of catalytic action (olefin→M, MAO→M and ligand→M binding).

Halogen bonding describes the attractive interaction between halogen atoms (mostly Cl, Br, I) in halogen compounds (X2, XY) or halides (RX) and highly electronegative atoms (mostly O, N) in molecules. Halogen bonding occurs in spite of electron-electron repulsion and the origin of the attraction is due to dative bonding (σ-hole at X), induced polarization, and dispersion. We have been aware of halogen bonding early on and our understanding of halogen bonding has played an absolutely crucial role in the development of crystalline polar materials (see section 1). These studies of halogen bonding provided a critical advantage to understanding the chemistry of oscillating chemical reactions (see sections 3.2 and 8) and halogen bonding theory also provides the conceptual basis for our most recent studies in pesticide chemistry (Midas, iodomethane-pyridine aggregation).

Spin polarization and delocalization describe the effects of an unpaired electron (or several unpaired electrons) on the electronic structure of the "paired electrons". Simplistic theories can account to some extent for spin delocalization but they usually neglect spin polarization altogether, i.e., radicals are described by one, possibly delocalized MO for the unpaired electron and sets of doubly occupied MOs. In truth, however, the presence of the unpaired electron destroys "perfect pairing" and every electron needs to be described by its own spin-orbital. For example, simplistic theories describe allyl radical as having one half of an α-spin associated with each terminal carbon. Yet, more appropriate correlated methods show the appearance of regions of β-spin density, most prominently at the central carbon, and this is illustrated in the following Figure.

The image to the right shows "Chart 5. Spin Quadrupole Polarization of Allyl's "π1-Electron Pair" by the Unpaired Electron in the π2-SMO" in the paper "Electronic Structures and Spin Topologies of γ-Picoliniumyl Radicals. A Study of the Homolysis of N-Methyl-γ-picolinium and of Benzo-, Dibenzo-, and Naphtho-annulated Analogs (J. Phys. Chem. A 2008, 112, 4800-4814).

Still, allyl radical is relatively easy to understand and simplistic theories provide at least a reasonable idea of the spin density distribution. However, the spin density distributions of more extended π-systems often are not even qualitatively approximated by simplistic theories and higher-level correlated methods are needed for the qualitative and quantitative description of the spin density distributions. The correct appreciation of the spin density distributions is required for the interpretation of EPR spectra and for assessments of chemical reactivity, and high-level spin density analysis is central to our research on the reduction chemistry of tirapazamine (see section 4).




1. Polar Order in Crystalline Organic Molecular Materials

Methods: Synthesis, Crystallization, X-Ray Crystallography, Differential Scanning Calorimetry (DSC), NMR (1-H, 11-B, 13-C, 15-N, 17-O, Solution, Solid State), Raman Spectroscopy, Optical Spectroscopy (Solution, Solid State), Halogen Bonding, Arene-Arene Bonding, van der Waals Bonding, Ab Initio and DFT Theory of Molecules, Clusters, and Crystals, Structure Analysis (as in "thinking about structure")

Polar order in the biosphere is limited to nanometer-sized domains, occurs with essentially complete cancellation, or is avoided on purpose. One thus wonders whether large-scale polar order is even possible and this question is the subject of the dipole alignment problem. We have addressed this challenge with an interdisciplinary approach bringing together elements of mathematics, electronic structure theory and computational, physical-organic and synthetic chemistry, crystallization and crystallography, and, most importantly, patience and much thought about intermolecular bonding in molecular crystals.

Our approach involves the design of beloamphiphiles that form polar 2-d layers and also stack with polarity. A perfectly ordered parallel beloamphiphile monolayer (PBAM) is shown. We have achieved the fabrication of several classes of near-perfectly and perfectly aligned materials. Of the 15 prototypes, 8 are near-perfectly and 7 are perfectly parallel aligned! One near-perfectly and two perfectly polar crystals are shown. View the online database.



The new polar materials are ascendants of a new generation of highly anisotropic functional materials with perfect polar order. Among other classes of materials, push-push, pull-pull, and push-pull azines X-Ph-CR=N-N=CR-Ph-Y and dienes X-Ph-CR=CH-CH=CR-Ph-Y are being studied to understand and refine the design concepts. Entirely new structured, polar, and anisotropic materials are now conceivable and are being explored.




Polar order in (MeO,Br)-azine (left), (DecO,Br)-azine (center), and (PhO,Br)-azine (right). The three azines form perfectly parallel beloamphiphile monolayers and the PBAMs also stack with dipole alignment. In (MeO,Br)-azine, directed MeO...Br interlayer halogen bonding results in near-perfect dipole alignment in the stacking direction. Such RO...Br halogen bonding is impossible in the (DecO,Br)- and (PhO,Br)-azines and perfect dipole alignment results.



2. DNA Base Deamination and Cross-Link Formation

Methods: Chemical & Enzymatic Synthesis, Oligonucleotide Chemistry, Non-Natural DNA Bases, Labeling Techniques (18-O, 17-O), HPLC, LC/MS, NMR Studies (1-H, 13-C, 17-O, 18-O isotopic shifts on 13-C), Covalent and Dative Bonding, Ab Initio Theory, Molecular Dynamics

We have been interested in two types of deaminations and their relation to modifications of DNA bases: The deamination of amines and their role in the alkylation of DNA and the deamination of the DNA bases guanine, cytosine and adenine. These processes lead to genomic instability. Much of our work on oxidative DNA damage has been concerned with diazonium ions. We proposed a new bonding model and have established a variety of direct links between theory and experiment. Current studies of diazonium ions focus on the mechanisms of their SN chemistry.

The possibility of pyrimidine ring-opening during the dediazoniation of guaninediazonium ion has been one of the focal points of our research. We have succeeded in the demonstration that the theoretically postulated key intermediate can form all the known products of nitrosative guanosine deamination including the dG-to-dG cross-link. This research not only explains known chemistry, but instead it suggests that chemistry not previously considered may occur in vivo.




Details of the reaction mechanism of nitrosative deamination of guanosine were investingated with 18O-labeling techniques. The number of 18O-labels in the products was determined by MS spectrometry and the locations of the labels were determined by the 18O-isotopically induced shift of the 13C-NMR signals. The [6-18O]-guanosine was prepared by enzymatic synthesis. The results firmly establish the formation of oxanosine via 5-cyanoimino-4-oxomethylene-4,5-dihydroimidazole and 5-cyanoamino-4-imidazolecarboxylic acid intermediates.







3. Catalysis: Olefin Polymerization, Oscillating Chemical Reactions, and Steroid Oxidation

Methods: Experimentation, Catalysis, Auto-Catalysis, Dative Bonding, Halogen Bonding, Oscillating Chemical Reactions, Kinetics Measurements, Kinetics Simulations, Ab Initio Theory, DFT Theory, Multi-Layer Methods (ONIOM), Thermodynamics.

3.1. Transition Metal-catalyzed, MAO-assisted Olefin Polymerization. The low pressure polymerization of α-olefines with catalysts that combined aluminum alkyls and transition metal complexes (i.e., Ti, Zr) was discovered more than half a century ago, and the significance of the Ziegler-Natta polymerization has steadily increased ever since. Methylaluminoxane (MAO) is usually employed as co-catalyst. A major advance occurred in 1990's with reports by the groups of Brookhart and Gibson that described first examples of a new generation of homogeneous catalysts for ethylene polymerization. The precatalysts are neutral Fe(II) and Co(II) complexes formed by addition of tridentate pyridine bis-imine ligands to the appropriate metal salt. The precatalysts are employed in nonpolar organic solvents in the presence of a very large excess (100-1000 equiv.) of MAO as co-catalyst. The iron catalysts showed better activities in both studies and their performance parameters were comparable to the most active Ziegler-Natta catalysts. More recently, Sun and coworkers of the Chinese Academy of Sciences, Beijing, explored structurally similar bidentate bis(imino)pyridyl Fe(II) complexes, tridentate 2,8-bis(imino)quinolines Fe(II) complexes, and related systems with nickel and titanium also have been studied.

While the organometallic precatalysts are well characterized, very little is known about the structure(s) and the function(s) of the active MAO species. Methylaluminoxane (MAO) is a generic term used to describe the products of 'controlled' hydrolysis of trimethyaluminum (TMA, Me3Al) and modified methylaluminoxane (MMAO) is obtained by hydrolysis of TMA with admixtures of other trialkylaluminum compounds (e.g., tBu3Al). The compositions of MAO and MMAO are unknown, they depend on their formation processes, and a variety of species have been discussed (see Figure).

It is our hypothesis that cyclic aluminoxanes are formed by partial hydrolysis of TMA and that these cyclic aluminoxanes are involved in the catalysis. The O-atoms in cyclic aluminoxanes are superior Lewis donors and much more prone to coordinate to iron as compared to acyclic MAO species. Hence, we are studying the olefin polymerization by MAO-ligated Fe-catalysts (see Figure).



MAO compounds discussed by Barron, Pasynkiewicz,
Sinn, Ziegler, Hall, and Linnolathi.


Cyclic aluminoxane coordinated to Fe catalyst: L(Ph)2FeCleq((OAlMe2)2)ax


3.2. Oscillating Chemical Reactions: Ferroin-Catalyzed Belousov-Zhabotinsky Reaction. Belousov-Zhabotinsky (BZ) reactions involve the metal-catalyzed oxidation of carboxylic acids in acidic bromate solution (History). While BZ reactions have become the quintessential model of non-equilibrium thermodynamics, many mechanistic details remain elusive about the inorganic, organic and organometallic reaction steps. We have been studying the kinetics of the ferroin/ferrin catalyzed BZ reaction of malonic acid (see Figure). Starting with the red ferroin complex, one observes a color change to the blue ferrin complex as Fe2+ is oxidized to Fe3+, and the concentrations of the iron ions and of bromide oscillate for up to an hour with oscillation periods ranging from 10 to 60 seconds depending on conditions (i.e., pH, pM).



Fe2+ (red) ⇄ Fe3+ (blue)

Bromous Acid Disproportionation: The key step in the inorganic chemistry of the BZR.

Possible mechanistic pathways of the Belousov-Zhabotinsky reaction.


3.3. Inhibition of CYP11B1 11β-Hydroxylation by Sutherlandia frutescens: Theoretical Studies of the Active Site and of Steroid Oxidation. One way the body responds to stress is by hydroxylation of 11-deoxycorticosterone (DOC) through the cytochrome P450 enzyme CYP11B1 to form corticosterone. Stress management aims to inhibit this synthesis, and it has been hypothesized that plant extracts from the plant Sutherlandia frutescens may lower the levels of corticosterone (Sergeant and Folk, 2011) and the phytochemical sutherlandioside B (SU1) is a possible inhibitor. It is the goal of our research to explore this hypothesis with molecular modeling techniques.

We have been studying active site in the iron-oxo systems [(Por2-)(Fe3+)O(Ln-)]1-n (1, L- = thiolate; 2, L0 = imidazole; 3, L- = phenolate) in detail (see Figure). The nature of the bonds between iron and oxygen and between iron and the ligand that tethers the complex to the protein via a side chain thiolate (cysteine), imidazole (histidine), or phenolate (tyrosine) the overall spin multiplicity (doublet, quartet, sextet), and the distribution of the unpaired electrons have been explored through molecular modeling techniques. We will show that the quartet state is preferred and that the distribution of the spin depends greatly on the nature of the tether. In the imidazole system, the three unpaired spins are distributed over Fe, O, and within the ?-system of the (dideprotonated) porphin ligand. In the thiolate and phenolate systems, the three unpaired spins are distributed over Fe, O, and the almost neutral SR (OR) ligand. Results of quantitative electron and spin population analyses will be reported. Effects of the enzyme environment on steroid oxidation have been studied with QM/SEM/MM methods.





4. Heteroarene Reductions: Hypoxia-Selective Cancer Chemotherapeutics

Methods: Single-Electron Transfer (SET), Reduction Chemistry (enzymatic, chem. SET), Heteroarenes, Reactive Oxygen Species (ROS), Ab Initio Theory, DFT Theory, Perturbation Theory, QCI Theory, Radical Anions, Neutral Radicals, Diradicaloids, Potential Energy Surface Analysis, Spin Density Analysis, Spin Polarization and Delocalization, EPR Spectra, Spin Traps

Heterocyclic aromatic N-oxides such as tirapazamine (TPZ) have attracted interest in areas of both chemistry and biology because they undergo metabolic conversion to a highly reactive, cytotoxic oxidizing species (i.e., HO·) selectively under low oxygen (hypoxic) conditions. The hypoxia-selectivity in the cellular metabolism of TPZ and other structurally related aromatic N-oxides stems from their ability to undergo intracellular enzymatic one-electron reduction to an oxygen-sensitive radical intermediate (2, in Figure). In the presence of molecular oxygen, the radical intermediate is rapidly oxidized to regenerate the parent molecule and an equivalent of superoxide radical. This futile cycling process is evidently substantially less toxic than processes that occur under hypoxic conditions. Under hypoxic conditions, the extended lifetime of the drug radical intermediate enables its conversion to highly cytotoxic oxidizing intermediates via a 'deoxygenative' mechanism involving loss of oxygen from the N-oxide functional group. These deoxygenation processes are an important focus of the studies proposed here.




Proposed mechanisms for activation of TPZ.
The same mechanisms are discussed for
TPZ derivatives 1-X and analogs 1Q(Z)-X.



Dominant resonance form of radical 3 and QCI//DFT spin density distribution of 3-NH2.


In a pair of papers, we explored the chemistry outlined in the above Scheme with reliable theoretical methods and with focus on the development of an understanding of the spin density distributions of the radical species involved. In the first paper, we reported on the electronic structure of 1, the reduction of 1 to 2, the protonation of 2 to isomers 3 and 4, and the N-OH homolyses 35 + HO· and 46 + HO·. The step-wise dehydration was examined in the second paper, and included studies of the dehydrations 311 + H2O, 412 + H2O as well as 317 + H2O. The computed reactions energies and the activation barriers do not exclude dehydration in principle. But we argued that the productivity of all dehydration paths is very low. In light of the results of the dehydration studies and of the electronic structures of 2 - 4, we concluded that an alternative was required for the interpretation the EPR measurements of their spin trap adducts. We discussed scans of the potential energy surfaces of 2 - 4 as a function of the (O)N1-Y (Y = C5a, N2) and (O)N4-Z (Z = C4a, C3) bond lengths and their analysis points to the possibility of bimolecular reactions of the spin trap molecules with 2 - 4 to occur with concomitant with triazene ring-opening. We have published this prediction and we are excited to explore this hypothesis experimentally.

Building on these studies of tirapazamine, we are now studying TPZ derivatives and several series of quinazoline analogs. Tirapazamine (TPZ, 1-NH2) is 3-amino-1,2,4-benzotriazine 1,4-N,N-dioxide and the TPZ derivatives 1-X are obtained by replacement of the C3-attached amino group by other substituents X. The TPZ analogs are quinoxaline 1,4-N,N-dioxides (1,4-benzodiazine 1,4-N,N-dioxide) in which N2 is formally replaced by a C2-Z fragment. One such analog series comprises the 2-cyanoquinoxalines 1Q(CN)-X and some of its representatives have been explored. Other analog series 1Q(Z)-X are characterized by the substituent Z attached to C2. Several aspects of the mechanisms of the reduction chemistry remain controversial and these include questions concerning (a) the electronic nature and reactivity of the radical intermediates 2 - 4, (b) factors controlling the regiochemistry of the protonation (ratio [3]/[4]) and of the site of N-OH bond homolysis (ratio [5]/[6]), and (c) factors that affect the yield of HO· production and the rate for HO· release (EA(1), pKa(3/4), kN-OH).



5. Nucleophilic Additions to Heterocumulenes: Toward Large-Scale Biomimetic, Reversible CO2 Sequestration

Methods: Microsolvation & Catalysis, Hydrogen Bonding, van der Waals Bonding, Pseudopericyclic Reaction Theory, Ab Initio Theory, DFT Theory, Experimentation, Peptide Synthesis,1H-, 13C-, and 25Mg-NMR, Water Supression, Multi-Dimensional NMR Methods, Peptide Complexation by M2+ Cations, Carbamate Formation, pH-Dependence, pM-Dependence, T-Dependence.

National Climate Report - September 2017 | Fourth National Climate Assessment

Nucleophilic additions to heterocumulenes are central in many important areas and the hydrolysis of carbon dioxide is by far the most important reaction in this group (enzymatic reaction in metabolism, greenhouse gas capture). The hydrolysis of carbodiimides is important in synthesis and in industrial applications. Additions to ketenes and ketenimines fall into this category as well and their chemistry has been well explored. We are interested in carbon dioxide, O=C=O, and its diimide, HN=C=NH, and we were initially motivated by a desire to learn about the latter. The HN=C=N- group may play a role in nucleophilic additions to guanine derivatives. Cyanoamines are likely to react by way of carbodiimides using pseudopericyclic reaction channels. Most recently, we explored the synergism of catalysis and reaction center rehybridization in nucleophilic additions to carbodiimide with one, two, and three water molecules. The placement of the third water makes all the difference for the catalysis of the hydrolysis of carbodiimide. Quantum-mechanical calculations show that microsolvation by a spectator molecule is more important than increasing the size of the proton-transfer ring.



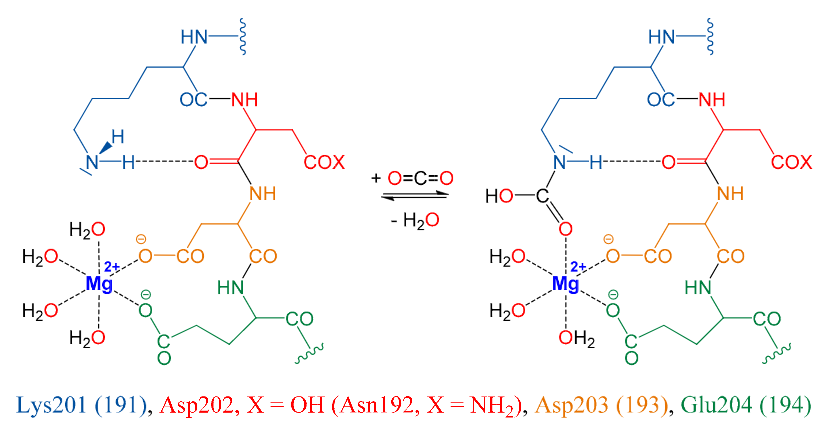
Activation of Rubisco by Carbamate Formation of ACO2. Residue numbers refer to the structures
of activated rubisco in spinacia oleracea (and rhodospirillum rubrum)


Modern societies largely rely on the fossil fuels to generate energy (electricity, heat, etc.) and as fuels for transportation, and the principle mode of fossil fuel use involves its direct combustion to water and carbon dioxide. Efforts to reduce CO2 emissions are directed at improving the combustion efficiency and/or at the development of technologies for carbon capture and storage (CCS). The fuel combustion efficiency depends on the type of fuel (coal, gaseous or liquid hydrocarbons, H2), the oxidizing agent (air, O2-enriched air, stream), and combustion conditions (pres., temp., cat.). It is the primary aim of CCS technologies to capture CO2 at the source and its long-term storage. The 2007 MIT study 'The Future of Coal' concluded that CCS is the critical enabling technology that would reduce CO2 emissions significantly while also allowing coal to meet the world's pressing energy needs.

The three major approaches to CCS involve post-combustion scrubbing, oxyfuel, and pre-combustion decarbonization technologies. It is the goal of our research to develop advanced materials for CO2 scrubbing. Nature has evolved five pathways for autotrophic CO2 fixation and our approach is inspired by the mechanism of the photosynthetic carbon assimilation via the Calvin-Bassham-Bensoncycle. The mechanism of the Rubisco-catalysis involves the activation by way of carbamylation of active-site Lys by an activator CO2 (ACO2), and the carbamate thus formed is stabilized by complexation to Mg2+ and by NH...OC hydrogen-bonding. Using synthetic, mechanistic and theoretical chemistry, we study organic materials that mimic Rubisco's capacity for reversible CO2 capture and discuss the fixation of these materials on porous, solid supports to achieve large-scale CO2 scrubbing from ambient air.

Rubisco (ribulose 1,5-bisphosphate carboxylase/oxygenase) catalyzes the addition of CO2 and water to RuBP (D-ribulose 1,5-bisphosphate) in the photosynthetic carbon assimilation via the Calvin-Bassham-Benson cycle and results in two molecules of 3-PGA (3-phospho-D-glycerate) and 0.5 O2. Hartmann and Harpel and Lorimer et al. discussed the mechanism of the Rubisco-catalysis. To exhibit both the carboxylase and oxygenase activities, rubisco must be activated through the carbamylation of active-site Lys by an activator CO2 (ACO2). The carbamate thus formed is stabilized both by complexation to Mg2+ and by NH...OC hydrogen-bonding. It is an idiosyncrasy of rubisco that the other substrate, RuBP, inhibits this activation process because RuBP strongly binds to the active site of uncarbamylated rubisco. To affect the activation, rubisco activase causes the release of RuBP from uncarbamylated rubisco so that the carbamylation of the lysine by ACO2 can occur.

Considering these many deficiencies and/or complexities, why would one want to look to Rubisco for inspiration of designs of CO2 capturing systems? The answer is simple in that (a) the designs of the CO2 capture system are informed by the understanding of the binding of ACO2, the activator CO2, and that (b) none of the performance deficiencies of rubisco matter so long as this CO2 capture occurs in the absence of RuBP (or closely related inhibitors of the activation by carbamoylation). Also, while sophisticated carbon-concentrating mechanisms (CCM) are essential for the rubisco-catalyzed carboxylation to compete successfully with the oxygenation reaction, there is no need for CCM for rubisco-inspired CO2 capture systems because O2 does not function as an inhibitor of the carbamylation reaction



6. Astrochemistry: Chemistry in Interstellar Space

Methods: Ab Initio Theory, Ion-Molecule Chemistry, Mass Spectrometry, Statistics, Collision Kinetics, Astrobiology, Infrared Spectroscopy, IR Intensity, Anharmonicities, Overtones and Combination Bands, Fermi-Resonances, Methylation of PAHs, Free Rotor Thermodynamics, Deuteration of PHAs.

The universe is 13.7 billion years old, it is flat, 4 percent of its energy is condensed into matter as we know it ("normal" matter made out of "normal" energy), 23 percent of its energy is condensed into "dark matter" (particular matter we don't know yet which is made of "normal" energy), and 73 percent is dark energy (an energy form we don't know). After "The Big Bang" and subsequent inflation, the universal expansion was slowed by gravitation, and it is the dark energy that started, some 5 billion years ago, to again accelerate the universal expansion toward the "The Big Rip".

All this is known, not merely hypothesized, because of measured data from the Wilkinson Microwave Anisotropy Probe (WMAP, unevenness in the 2K background radiation) and the Sloan Digital Sky Survey (SDSS, spacial distribution of 1 million galaxies). Of the 4 percent of normal matter, we "see" only a rather small part: Light itself, the matter in stars, and the interstellar and intergalactic stuff that interacts with light in some way (reflect, absorb, emit, redirect). The locations of hydrogen clouds are being determined via Lyman α-forest analysis. It is already clear that there is a lot more invisible matter than there is visible matter and most chemistry in the cosmos occurs in the dark and unobserved in interstellar and intergalactic clouds.





It is our hypothesis that the DNA bases can be synthesized in the interstellar medium from the materials present in any galaxy. Hence, we think that life literally everywhere can be DNA based and, with the principle of parsimony, we believe that it is. We are studying conditions that occur, especially in our own Milky Way galaxy, to try to provide evidence for our belief.

More to come...



7. Science Communication: Chemistry Is in the News and the Scientific Writing Project

Methods: Scientific Literacy, Media Literacy, Learning Theory, Constructivist Theory, Research on Peer Review, Assessment, Information Technology, Computer-Assisted Collaboration, Computer-Mediated Communication, Scientific Writing, Philosophy of Science. IRB Certified 2003-5 and 2005-7.

Bronowski pointed out the private (independence, originality) and public (truthfulness, dissent) components of science and the need for both in the scientific society. Ziman writes that Science is Public Knowledge and that science stands in the region where the intellectual, the psychological and the sociological coordinate axes intersect. Habermas talks about the systems sphere (science, technology, corporate capitalism, bureaucracy) and the cultural sphere (private and public life, morality, culture) and the need to harmonize progress in science and technology with the cultural sphere. Successful human evolution as a collective learning device requires effort to discuss and bring about consensus about the systems sphere in the cultural sphere to guarantee democracy.

The Chemistry is in the News (CIITN) Project. University science education largely focuses on disciplinary skill training. Making the connections to the students (psychology) and to needs of the public (sociology) either is neglected or not attempted at all. Yet, it is the complexity that comes from these connections that brings the subject to life, makes students better learners, and provides them with the abilities to become life-long learners and free citizens in a democratic society. The Chemistry is in the News project enables students to see the connections, to understand science and its role in society, and to use this knowledge in the evaluation and in making judgements about choices presented in everyday life.






GTAs Martin Wu and Kathleen Carson instruct students in the use of the CIITN web tool in one of MU's Chemistry Computer Rooms. The PI (front row, 3rd from left) and his 2012 advanced writing class at the Graduate School of [the] Chinese Academy of Sciences, Beijing.


Scientific Writing and Authoring Instruction. Many of the elements of the CIITN project have been implemented in Chemistry 3700, the Undergraduate Seminar in Chemistry. I have been teaching this course once a year since 2010 and developed an entirely new curriculum for the instruction on Scientific Writing in Chemistry. The theme of each implementation is different to ensure a truly unique learning experience for the students every semester (SP10: Aspirin and Painkillers; SP11: Indicators and Chemical Sensors; SP12: Detergents and Ambiphiles; SP13: Solar Power; SP14: Nutraceuticals; SP15: Photocatalysis; SP16: Nutritional and Health Benefits of Pulses: Phytochemistry; SP17: CO2 Capture, Utilization and Storage, SP17 Course Web Site); SP18: Opioids Epidemic SP18 Course Web Site). Chemistry 3700 fulfills the Writing Intensive (WI) requirements of the Campus Writing Program and Chemistry 3700 also is a computer and information proficiency course.

To complete this course successfully, students are asked to complete assignments, ten writing assignments and one oral presentation, and there are no tests. All tasks are peer-reviewed on the basis of criteria-based rubrics, which I created for each specific assignment, and the students needed to prepare and submit revisions in response to the peer reviews. Assignments #1 - #6 focus on the development of specific skills (pre-writing, writing, graphing, image art, tables, information access & data mining, quantitative data analysis, oral presentation) and assignments #7 - #11 engage the students in a near-authentic exercise of science writing and of the science publication process: From planning and researching a topic, to writing and submitting a paper, to competently peer-reviewing papers written by others in the course, and finally on to resubmitting a revised manuscript. Syllabus, schedule, assignments and rubrics are available at the Chemistry 3700 course web site. My courses all employ modern pedagogy with a focus on active learning and constructivist theory. The tasks are original, relevant, and timely, and they are constructed to enhance students' "understanding of concepts", their "scientific reasoning skills", and their capacity for "evaluation of evidence" and "flexible adaptation."

Global Adaptation of a Scientific Writing Course: From Missouri to China. The course Scientific Writing in Chemistry also addresses an essential need for science students across the globe. Since 2010, we have regularly taught summer courses on Scientific Writing in Chemistry at the University of [the] Chinese Academy of Sciences (UCAS) in Beijing, at Northwest University in Xi'an (NWU), at Northwestern Polytechnical University in Xi'an (NPU), and at Xiamen University. The semesterlong MU 3h-course with three meetings per week and with low enrollment was adapted to shorter block courses with much higher enrollments. The drastic differences in scale and mode of delivery posed numerous non-trivial challenges. Several adaptations have been applied to overcome the challenges, including the course structure and the cultural and language barrier.


Due to the shorter duration of the courses in China, students usually studied sample assignments written by MU students, but the implementations at Xiamen University and at Northwestern Polytechnical University also included sessions with active writing practice. Teaching assistants (TA) played important roles to facilitate the interactions between the students and the instructors in the courses in China and were recruited in several ways: TAs were Chinese students who were enrolled in the course in China and/or they were American and/or Chinese students from MU (who had taken the writing course at MU). As a result of the TA support, the Chinese students were more engaged in the classroom and more able to overcome any language and cultural differences.



Bilingual Instruction...


Writing in English...


Presenting in English...



8. Cross-Disciplinary Science Education: Mathematics and Life Sciences

Methods: Chemical Kinetics, Mass Action Theory, Debye-Hückel Theory, Ionic Strength, Activities, pH Values and Species Concentrations, Multi-Equilibria, Ordinary Differential Equations (ODEs), Integration, Mathematica, Excel, Video-Based Image Analysis, Mathematical Methods for Oscillation Pattern Analysis. IRB Certified 2009-15.

An NSF-PRISM initiated effort to enhance undergraduate edcucation by way of stronger ties between and integration of education in mathematics and the phyiscal sciences led to the formation of a collaborative nonlinear dynamics research project with Prof. Carmen Chicone, MU Department of Mathematics.

It is our goal to understand metal-catalyzed Belousov-Zhabotinsky oscillating reactions so well that we can simulate these reactions without any assumptions over long reaction times. We are focusing on the classical prototype: The metal-catalyzed bromate oxidation of malonic acid in aqueous sulfuric acid.

This goal is extremely ambitious and requires expertise in many areas including bromine chemistry, organic chemistry, transition-metal chemistry, reaction mechanisms, kinetics, acidity, and more. Perhaps the hardest part is the mathematical simulation of the complex kinetics in aqueous, acidic solution. We have develped a dynamical approach to solving high-dimensional multi-equilibria systems. In our initial publications, we discussed the advantages of the "dynamical approach" as compared to the "equilibrium approach" and we demonstarted that effects of ionic strength can be included in the dynamical approach in a transparent fashion and result in resounding agreement with experimental data. We are currently studying the pH dependence of full Belousov-Zhabotinsky oscillating reactions.


Fig. 1 in 2014 JCE. Overview of approaches to solving H2A/HA-/A2-/HB/B- systems (7 species). The equilibrium constant Ki depends on the reaction rate constant kif for the forward reaction and the reaction rate constant kib for the back reaction. See paper for details. Fig. 5 in 2017 JSC paper. Species concentrations in hydroxide titration of 0.2 mol/L citric acid. With maxima occurring from left to right: concentration of H3A (blue), H2A- (red), HA2- (green) and A3- (orange) as a function of pHact. Line style indicates the Debye-Hückel approximation: I = 0 (solid), Guüntelberg (long dash), Davies with b = 0.1 L/mol (dotted) or b = 0.2 L/mol (short dash). Effect of the DH approximations on concentrations. Curves terminating at I = 0.9 mol/L (black) show ionic strength calculated from the three DH methods.