
Reference paper for our project is: Steinhagen, H.; Reggelin, M.; Helmchen, G. Angew. Chem. Int. Ed. Engl. 1997, 36, 2108. The authors studied the Palladium-catalyzed allylic alkylation with phosphinoaryldihydrooxazole ligands( The structure of this ligand is here). They claimed that they detected a primarily formed olefin-Pd(0) complex (shown below) in the catalytic cycle according to an already existing mechanism. They monitered the progress of the reaction by 31P NMR spectroscopy and also unambiguously determined the complex's conformation by 2D NMR experiments.
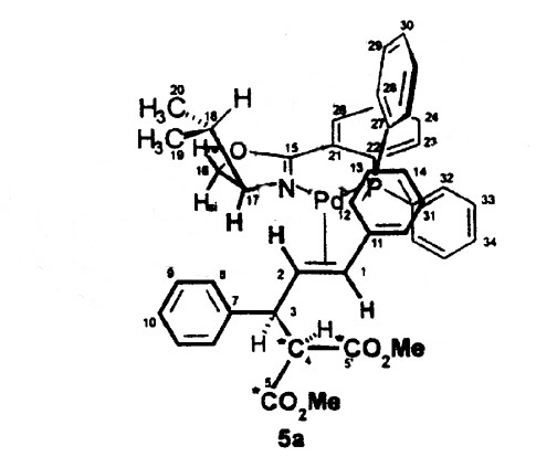
The structure of the complex being studied is shown below. ( The simplified structure of the complex 5a is also shown in the above mentioned mechanism). Assignment of the resonances of all NMR-active nuclei of the complex was done by using 13C(3 atoms)-labeled NaDMM(Sodium dimethylmalonate) and a large set of 2D NMR experiments. In the complex, C-4, C-5 and C-5' are 13C-labeled. Only a few of the NMR experimental data were presented by the authors in the paper. We will deal with the assignment of the 1H chemical shifts of the allyl part by HMBC ( Heteronuclear Multiple Bond Correlation) 2D NMR.

Sections of heteronuclear NMR spectra of the complex are shown above([D8]THF, -60 deg.C):(A) 400-MHz 31P-1H HMBC, stoichiometric reaction; (C) 600-MHZ 13C-1H HMBC, stoichiometric reaction.(If you think the picture shown above is not clear enough, there is another one for you.) Here we can assume section A and C as spectra of the pure complex. You can ignore sections of B, D and E, because they are irrelevent to our business.
HMBC was developed to determine long-range heteronuclear connectivity. For example, 1H-13C HMBC can tell us two and three bond 1H-13C connectivity, and signals from protons that do not have a long-range coupling to 13C are removed by the experimental sequence adopted. If more than one long-range CH connectivity is detected for one particular proton in 1H-13C HMBC, the relative intensities of the corresponding resonances are directly related to the magnitude of the coupling constants. You can find some explanation of it in this paper: Bax, A.; Summers, M. F. J. Am. Chem. Soc. 1986, 108, 2093.

1. What do the two axes stand for in the spectra? ...ICR
2. In spectrum A, which protons coupled with the 31P atom? How about their ppm values? Please assign them to the functional groups they belong to. ...RQD
3. In spectrum C, which protons coupled with the C-4 atom? ... RQD
4. Please point out which proton is H-2 and which proton is H-3. ...SCL
5. In spectrum C, what factors result in the scattering of the crosspeaks along the vertical direction? ...FAR